掉期率(Swap Rate or Swap Point)
掉期率概述掉期率指某一特定的货币,其远期汇率与现货汇率的差异,或正面或负面,通常以点数代表。其实“掉期率”来自两种交易货币之间的“利率水平差”。这种差值可以汇率形态表示,又称之为两货币之间在某一时段内的掉期率。
银行在外汇交易中通常用掉期率标出远期外汇的价格,并报出买入和卖出两种掉期率,一般报小数点后的第三、四位数。从掉期率的排列顺序上可看出远期汇率是升水还是贴水。在直接标价法中,掉期率的排列顺序如是由小到大,即买入掉期率低于卖出掉期率,远期外汇为升水,反之则为贴水。在间接标价法中,掉期率的排列顺序如是由大到小,即卖出掉期率高于买入掉期率,远期外汇为升水,反之则为贴水。
掉期率的计算方法1、掉期率的计算方法
掉期率的计算有两种不同的方式,一种是以利率差的观念为计算基础,另一种是以利率平价理论的观念作为计算基础。
1.以利率差的观念为基础的计算公式为:
掉期率计算= (远期汇率-即期汇率)/ 即期汇率 × 360/ 远期合约天数
2.以利率平价理论为基础的计算公式为:
掉期率=远期汇率-即期汇率
2、不规则天数的掉期率的计算
不规则天数的掉期率常采用平均天数法来计算,其计算过程可以分为4个步骤:
(1)找出最接近不规则天数的前后两个规则天数的掉期率。
(2)计算出前后两个规则天数的掉期率的差额和这两个交割日之间的天数,以掉期率差额除以天数,得到每一天的掉期率。
(3)计算出不规则天数交割日与前一个规则天数交割日之间的天数,以这一天数乘以所求得的每一天的掉期率,得到一掉期率。
(4)将这一掉期率与前一个规则天数的掉期率相加,得到不规则天数的掉期率。
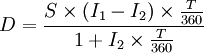
掉期率的计算公式掉期率公式可分为:

S——即期汇率;
I1为计价货币利率;
I2为基础货币利率;
T——天数;
D——掉期率。
在上述公式中,若计价货币利率大于基础货币利率,其利率差为正数,此时远期汇率减其即期汇率大于零,称之为升水;若计价货币利率小于被计价货币利率,其利率差为负数,此时远期汇率减其即期汇率小于零,称之为贴水。
掉期率的三种形态它有三种形态:
①当远期汇率高于即期汇率时,称之为“升水”或“溢价”(At Premium);
②当远期汇率低于即期汇率时,称为“贴水”或“折价”(At Discount);
③当远期汇率与即期汇率相同时,则称为平价(At Par)。
掉期率报价法掉期率报价法与另一种报价法不同,银行首先报出即期汇率,在即期汇率的基础上再报出点数(即掉期率),客户把点数加到或从即期汇率中减掉点数而得到远期汇率。
在掉期率报价法下,银行给出点数后,客户计算远期汇率的关键在于判断把点数加到即期汇率中还是从即期汇率中减掉点数,其判断原则是使远期外汇的买卖差价大于即期外汇的买卖差价,因为作为银行来说,从事外汇交易的利润来源主要就是买入卖出外汇之间的差价,在远期外汇业务中银行所承担的风险要比从事即期外汇业务的风险大,因而也要求有较高的收益,表现在外汇价格上就是远期外汇的买卖差价要大一些。如下例:
例3.3 2004年某月一客户向银行询价时,银行用掉期率标价法报出远期英镑价格:
Spot 1.7540/50;30-day 2/3;90-day 28/30;180-day 30/20。
考虑30-day的远期汇率情况,试用加法,远期汇率为1.7542/53,买卖差价为0.0011,大于即期外汇的买卖差价(O.0010),可判定加法是对的;再试用减法,远期汇率为:1.7538/47,买卖差价为0.0009,小于即期外汇的买卖差价,判定减法是错的;同理可得出90-day的远期汇率也应采用加法,而对180—day的远期汇率,尝试的结果表明应采用减法。上述结果可重新表述如表1。
表1
英镑汇价表 外汇交易类型 银行买价 银行卖价 即期 1.7540 USD 1.7550 USD 30-day 1.7542 USD 1.7553 USD 90-day 1.7568 USD 1.7580 USD 180-day 1.7510 USD 1.7530 USD
通过上例可以看出,当银行给出的掉期率斜线前边的点数低于斜线后边的点数时,应把掉期报价的点数加到即期汇率上,此时若是在直接标价法下,表现为远期外汇升水;若在间接标价法下则表现为远期外汇贴水。相反,当银行给出的掉期率斜线前边的点数高于斜线后边的点数,应把掉期报价点数从即期汇率中减掉,此时在直接标价法下,表现为远期外汇贴水,在间接标价法下则表现为远期外汇升水。
- 上一篇: 名义汇率
- 下一篇: 知行合一,是交易者的最高指导思想








发表评论