14世纪逻辑学家奥卡姆的威廉提出一个简单有效原理,内容为:如无必要,勿增实体。为什么要将复杂变简单呢?因为复杂容易使人迷失,只有简单化后才利于人们理解和操作。其实奥卡姆剃刀原理也适用于外汇领域,用简单的模式去看待市场!
我分享的理念一直没有改变:用最简单的语言表达最专业的知识!这近两个月来分享了不少简单实用的技术,或许大家在看文章的当下感觉热血沸腾,很有一种想立刻去赚钱的冲动,不过我知道很多朋友只是三分钟热度,私下没有去研究和复盘,秉着好人做到底,送佛送到西的责任感,今天竹祥给大家做一个简单的实战回顾,让大家把学的东西可以运用起来。

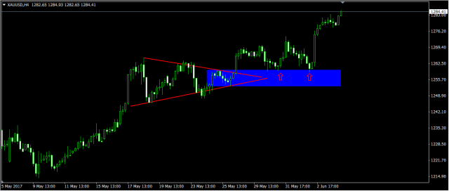
如上图,2017年5月23日和25日,在《你所不知道的暴利形态》里我和大家分享了一个收敛三角形技术。
高手解析:你所不知道的外汇暴利形态
高手解析:你所不知道的外汇暴利形态二
其实这也是简单思维的一种,因为市场上各种形态实在太多,但是哪一个有效哪一个能赚钱大多数朋友不知道,所以竹祥先送给大家一个最容易识别和盈利的形态,我们不要一味地贪多贪全,可以先把一个形态看懂吃透,能一个形态做到极致的人,结局自然不会差!

上图是我讲完收敛三角形后黄金出现的一个机会,相信很多朋友当时都看到了也抓到了,截止目前上涨已经超过260点,这个黄金的多单机会和我们的收敛三角形模型如出一辙,简直教科书式的走势。进场和止损都很明确,没有含糊其辞的地方,价格在进场点立即开始反转,几乎没有浮亏,这对于我们持单心态来说非常有帮助。
如果进场后差点打你止损,最后虽然也顺利上涨了,但是对你持单的心理会有较大的影响,结局是一样的,但承受的过程不一样,这个有过持单经历的朋友都清楚。
其实像这种特别明显的机会,我们在5月26日突破时就发现这个做单机会了,甚至没突破前都能看出来是个收敛三角形,但是我们真正做的时候是在5月30日和6月2日这两个时间点,中间的时间用来干嘛呢?不是用来随意交易和预测行情,而是耐心地等待,等待价格回调到进场点,然后去执行。交易就是这么一个既充满乐趣,又枯燥乏味的过程!

上图的日元也是在我讲完收敛三角形后出现的机会,目前已经下跌超过200点,止损幅度只有20点左右,上周五的非农数据明显利空美元,导致美日持续单边下跌,如果一直持单的朋友现在心里肯定在偷着乐。

如上图,我们一般情况会在C进场D止损,但是如果遇到上图中多次逐步收敛的情况,我们可以把进场放在E处,止损设在F处,这样止损的幅度会更小!也就是根据突破前最后一个调整波段来设进场和止损。

上图是我5月26日讲完收敛三角形后欧元的一个机会,5月29日回调到进场位可以做空,但是我们可以看到这个止损有50多点比较大,那又没办法变得小一点呢?办法肯定是有的,如果听过我5月20日济南沙龙的朋友,应该还记得我分享的是精确阻力这个知识点,这知识点在这里就会派上用处。如下图:

根据精确阻力,我们可以在1.1186处精确做空,止损只需要放置10-15点即可,随后价格立即反转下跌了76点,这个盈亏比就已经完全够了,达到了5-7倍,如果不会这个精确阻力那盈亏比只能做到1.5倍。所以学无止境,有了一个研究方向后,如果还会其他技术,肯定会提高自己的交易水平。

估计有朋友会问为何这个欧元就能平仓平在最低点附近,你这是马后炮吧,如果没有及时平仓利润不就全部吐回去了吗。股市里有句话,叫做会买的是徒弟,会卖的是师父!在外汇市场应该改为:会进场的是徒弟,会出场的是师父!出场确实比较难,但不代表就没有方法,我可以明确的告诉大家,欧元不仅在1.1114附近可以精确出场,而且可以在这里精确入场!
![]()
只是由于这个知识点我还没有分享过,所以这里不做展开。我们千万不要用自己的眼光去衡量一切,觉得自己做不到别人也做不到,一定要保持一颗谦虚和包容的心,在浩瀚的宇宙面前,人类只是小虾米,在金融市场里,任何一个高手都只是沧海一粟.......
上面三个机会是我在5月26日讲完《你所不知道的暴力形态二》后出现的机会,截止目前大约过了一周多,最明显的就是这三个机会,总共盈利大约超500点,如果你把其他不明显的做错个一两次,也至少收获400多点,就算你出场不好也赚300多点,唯一需要做的就是等待和执行!
外汇市场里聪明的人特别多,但最后赚钱的人却特别少,很多时候都是聪明反被聪明误,认准一条路,踏踏实实的走下去,做好自己能看懂的机会,放弃其他看不懂的机会,市场就会报答你!
- 上一篇: 中国外汇市场准则(全文)- 附件 外汇交易技术术语表
- 下一篇: 如何克服汇市交易的“心魔”









发表评论