换汇成本说是中国原经贸部和理论界的学者,结合购买力平价说和中国的国情于70 年代未发展出来的一种汇率决定学说。它把购买力平价说中的非贸易商品加以剔除,而用国际贸易商品的价格对比来考察汇率的决定,这显然比购买力平价说更切合中国的实情,因此,可以说它是对传统的购买力平价说的一种进步。
换汇成本说的表达形式换汇成本可以用两种方式来表达,第一种是在国际市场上换得1 美元所支出的人民币成本(加上适当的利润);
第二种是在国内市场出售1 美元的进口物品所能获得的人民币收入(也包括适当的利润)。
第一种换汇成本实际上是指出口换汇成本,第二种换汇成本实际上是指进口换汇成本。它们的表达方式分别是:
出口换汇成本
(1)
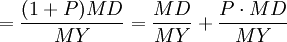
进口换汇成本
(2)
在等式1 中,P 是预期的利润率,EY 是一定时期中以人民币衡量的中国出口总值,ED 是一定时期中以美元衡量的中国出口总收入,EY 与ED 之比表示的是狭义的中国出口成本平价,表明中国在国际市场上赚得1 美元所需支出的人民币代价。P•EY 与ED 之比表示的是预期的总利润,在我们的理论探讨中,它没有意义(但是它对我国经贸公司来讲,有重要的实际意义)。在等式2 中,MD 是以美元表示的一定时期中的中国进口总值,MY 是以人民币表示的一定时期中中国进口商品在国内市场的销售总收入。MD 与MY 之比表示在国内市场销售1 元人民币所需支出的美元成本。因此,这个比例表示的是狭义的进口成本平价。同样,P•MD/MY 是预期的进口总利润,它没有理论意义,只有经营意义。等式1 和等式2 的整体,分别表示了广义的出口成本平价(出口换汇成本)和进口成本平价(进口换汇成本)。说它们是广义的,是因为它们都包括了利润在内。
表1 中国出口换汇成本及官方汇率走势(1980—1993)
人民币/美元(直接标价法)
狭义出口换汇成本 利润率 广义出口换汇成本 人民币牌价汇率 1980 2.31 10% 2.54 1.53 1981 2.48 10% 2.73 1.75 1982 2.73 10% 3.00 1.92 1983 3.12 10% 3.43 1.98 1984 2.80 10% 3.08 2.80 1985 3.10 10% 3.41 3.20 1986 4.12 10% 4.53 3.72 1987 4.56 10% 5.02 3.72 1988 5.00 10% 5.50 3.72 1990 - 10% - 5.22 1991 - 10% - 5.43 1992 7.20 10% 7.92 5.75 1993(10月底) 8.20 10% 9.02 5.77
出口换汇成本和进口换汇成本都是改进了的购买力平价。选择哪种换汇成本作为汇率决定的基础。取决于政府的政策取向和两种成本平价之间的相互关系,如果出口换汇成本与进口换汇成本是相等的两个值,那么,取哪一个的结果都是一样的。反之,如果出口换汇成本与进口换汇成本不相等,那就要依经济运行状况和政府的政策取向来选择其一了。在我国,由于国内外价格体系的差异,出口换汇成本和进口换汇成本是两个不等的值,而鼓励出口又是我国汇率政策的主要目标,因此,我国长期来一直采用出口换汇成本作为依据来指导人民币汇率的决定。表2-7 列出了作者根据国家外汇管理局及有关报刊资料所估计的我国狭义出口换汇成本和广义出口换汇成本的数据,以供大家参考。
两种换汇成本的异同换汇成本和传统的购买力平价的异同换汇成本说和购买力平价说的异同,可用一张表(表2)来加以归纳。
表2 换汇成本与购买力平价的主要特征比较
换汇成本 购买力平价 广义基础 单位货币的购买力 单位货币的购买力 狭义基础单位货币对国际贸易商品的购买力 单位货币对一般商品的购买力 假设前提 一价定律存在于国际贸易商品价格之中 一价定律存在于所有商品价格之中 购买力的决 定货币数量、劳动生产率等等 货币数量
从表2的比较中可以看出,两者的理论基础是基本一致的。但是,换汇成本缩小了货币购买力的对比范围和一价定律的适用范围,它仅仅从国际贸易商品这一范围来进行货币购买力的对比和承认一价定律的存在。同时,换汇成本没有假定货币的购买力仅仅由货币的数量来决定,这也是它的一个特征。
- 上一篇: 炒外汇之前请记住,这里不相信眼泪!
- 下一篇: 技术分析定义及特点









发表评论